Lake Champlain High Frequency Data Buoys— what we know after almost 10 years
As many of us know too well, the conditions on Lake Champlain can change almost instantly. Knowing the real-time weather data like water temperature, wind speed, and currents, is critical for safe boating and recreation.
In an age of information, we may take for granted this on-demand information, but a lot goes into keeping these buoys afloat. The Lake Champlain Research Institute (LCRI) at SUNY Plattsburgh maintains 3 data buoys on the lake. These are located near Valcour Island, the North Lake just north of the Grand Isle Ferry crossing, and in Mallet’s Bay at the Lake Champlain Basin Program (LCBP) monitoring site. The Valcour buoy, originally funded by Lake Champlain Sea Grant, has been in operation since 2016 and is in its ninth year of data collection. The Mallet’s Bay buoy operated for the LCBP long term monitoring program was first installed in 2022, and the North Lake buoy is new in 2025. 
Over the course of the summer, LCRI staff installs each buoy system, a process involving 150 lb. side anchors with moorings and the buoy itself which sits in between two anchors. They also maintain and check the buoys throughout the season. Data buoys on Lake Champlain are typically installed by early June and retrieved by early October since the buoys cannot handle the winter conditions on Lake Champlain.
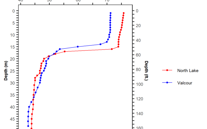
“Our work on deep lake thermal structure has informed our understanding of Lake Champlain far beyond what we knew prior to implementing high frequency data buoys on the lake,” shared Dr. Mihuc. “We have learned that Lake Champlain’s thermal structure is constantly changing and is very dynamic. Every storm event influences the lake thermal profile which has implications for fish and planktonic communities.”
Dr. Tim Mihuc from LCRI at SUNY Plattsburgh and his team of graduate and undergraduate students use the buoy data for research, including a Great Lakes Fishery Commission funded project on the impacts of storm events on thermal vertical structure. The study involves long term assessment of the lakes thermal structure and impacts of storm events on the lake’s planktonic biota (zooplankton and phytoplankton). 
SUNY Plattsburgh often takes class field trips and visitors to the buoy site. Recently, the team from LCRI hosted Dan Rubinstein, an author who published “Water Borne” a book volume documenting a 1200-mile paddleboarding pilgrimage. Dan spent the day with our sampling team and included his buoy trip as a chapter in the book.
“It’s been exciting to see our real-time water quality and weather monitoring capabilities grow significantly over the past few years,” said Dr. Matthew Vaughan, Chief Scientist at the Lake Champlain Basin Program. “The flooding in 2023 and 2024 highlighted the importance of this network—the continuous data links what happens in the watershed directly to water quality in the lake.”
The data from the buoys is available in real time for those on the lake, but it is also stored and saved long-term which can be used to monitor trends and record climate change. Scientists have data from these buoys going back to 2016. These data help us understand lake conditions over time and how the lake responds to different stresses. The long-term data also creates a baseline condition which can be compared against during large storms, or other unique conditions.
“We find the Plattsburgh buoy observations very helpful in the warm season when the platform is deployed and transmitting,” said John Goff from the National Weather Service in Burlington, Vermont. “The primary value in using this, and other marine observations on the lake is they help us assess current conditions and compare those against our Lake Champlain forecasts.”
The Valcour and North Lake buoy data is available online, which has received nearly 30,000 website hits from the boating and fishing community. More information on Lake Champlain real-time weather conditions and buoy conditions can also be found on this LCBP page.